
Schöne Anteilige Abrechnung Ihrer Servicegebühr Ebenbild. Ich habe auf meine februar rechnung einen vermerk mit anteilige abrechnung ihrer servicegebühr. Die fiktive abrechnung greift, wenn sie ihr unfallauto nur teilweise reparieren.
GranValora-Sparplan-Sachwerte - capri-v6s Webseite! from image.jimcdn.com Das neue ticket wird daher nur für den zeitraum vom buchungstag bis zum laufzeitende des ursprünglichen tickets berechnet. So wurde eine ziffer neu eingeführt, andere ziffern wurden gestrichen oder. Dadurch zahlst du bei der ersten abbuchung nicht die vollen monatlichen gebühren für das zweite ticket, sondern nur anteilige gebühren für den zeitraum von.
Schöne Pflichtangaben Einer Rechnung Bild

Schöne Pflichtangaben Einer Rechnung Bild. Die rechnung, die sie ihrem kunden stellen, verkörpert ihre forderung dem kunden gegenüber und dokumentiert ihre geschäftlichen verkaufsaktivitäten. Pflichtangaben einer rechnung nach § 14 ustg.
Rechtliche Bestandteile einer Rechnung in Sonderfällen ... from www.rechnung.de Was eine faktura im kern ausmacht, welche angaben sie genau beinhalten und welche weiteren voraussetzungen sie erfüllen muss, ist im. Es ist wichtig zu wissen, welche angaben sie unbedingt enthalten.
Spannende Gesamtstromstärke Berechnen Ebenbild

Spannende Gesamtstromstärke Berechnen Ebenbild. Damit man die elektrische stromstärke berechnen kann, braucht man mindestens zwei größen. Die stromstärke bezieht sich immer auf eine geeignet gewählte orientierte fläche, beispielsweise die querschnittsfläche eines leiters.
Naturwissenschaften - wikiHow from www.wikihow.com Das berechnen der stromstärke kann mithilfe des ohmschen gesetzes erfolgen. Ich habe im buch die aufgabe gestellt bekommen mit lösungen, meine lösung waren für 2 amper aber im buch steht 1,5 ampere.
Spannende Länge Einer Kurve Berechnen Bilder

Spannende Länge Einer Kurve Berechnen Bilder. Auch wenn mit der obigen definition angegeben worden ist, was wir unter der pfadlänge verstehen wollen, so ist damit die länge einer kurve, die wir ja als äquivalenzklasse zu betrachten haben, noch lange nicht geklärt. Internet brauchst du für diese aufgabe nicht.
Bogenlänge einer Kurve bestimmen (Dassault Systemes - PLM ... from ww3.cad.de Eine kurve, für die der tangentenvektor in jedem punkt der einheitstangentenvektor ist, heißt „nach der bogenlänge dazu bildet man wieder die erste ableitung , und berechnet die länge des tangentenvektors und die bogenlänge für = 0 die umkehrfunktion ist.
Spannende Pflichtangaben Rechnung Ebenbild

Spannende Pflichtangaben Rechnung Ebenbild. Welche pflichtangaben müssen in einer rechnung sie sollten die pflichtangaben einer rechnung kennen. Das umsatzsteuergesetz enthält umfassende vorgaben, wie eine.
Rechnungsvorlage Kleinunternehmer - kostenloses Muster ... from vorlage-kostenlos.de Die rechnung, die sie ihrem kunden stellen, verkörpert ihre forderung dem kunden gegenüber und dokumentiert ihre geschäftlichen verkaufsaktivitäten. Die pflichtangaben einer rechnung sind für den vorsteuerabzug des rechnungsempfängers entscheidend. Wie muss eine rechnung aussehen?
Stilvolle Durchmesser Quadrat Berechnen Bilder

Stilvolle Durchmesser Quadrat Berechnen Bilder. Die zahl 4 ergibt sich daraus, dass das quadrat 4 seiten hat. Gib vier punkte im raum ein.
VIDEO: Durchmesser beim Quadrat berechnen - so gehen Sie vor from static.helpster.de Flächeninhalt eines quadrats berechnen einfach erklärt aufgaben mit lösungen zusammenfassung als pdf jetzt kostenlos dieses thema lernen! Mit dieser angabe gehen wir in die nächste. Ein quadrat gehört zu den einfachsten geometrischen durch die messung der diagonale kann man überprüfen, ob ein werkstück tatsächlich quadratisch ist.
Verwunderlich Corel Draw Schaltplan Zeichnen Fotos

Verwunderlich Corel Draw Schaltplan Zeichnen Fotos. Ein schaltplan (auch schaltbild oder schaltskizze) ist eine in der elektronik gebräuchliche grafische darstellung einer elektrischen schaltung. Unsere elektrokonstrukteure planen, projektieren und zeichnen schaltpläne für den bereich der industrietechnik und gebäudetechnik. Sie können verschiedene arten von.
Tutorial Ein Regenbogen mithilfe der künstlerischen Medien ... from downloads.psd-tutorials.de Mithilfe eines computerprogramms ist es sehr viel schneller erledigt. Bemaßungslinien können gezeichnet werden, um den abstand zwischen zwei punkten in der zeichnung oder die größe von objekten anzugeben.
Verwunderlich Directions Auf Rechnung Bild

Verwunderlich Directions Auf Rechnung Bild. With noun/verb tables for the different cases and tenses ✓ links to audio pronunciation and relevant forum discussions ✓ free. Перевод слова direction, американское и британское произношение, транскрипция, словосочетания, однокоренные слова, примеры использования.
Trauringe & Eheringe online auf Rechnung oder 0% ... from www.uhrenschmuck24.ch Bill, check, invoice, calculation, estimation, account, bill, check, invoice, tally. Speak slowly when talking to the other person and spell out words if they don't understand and if possible draw a map.
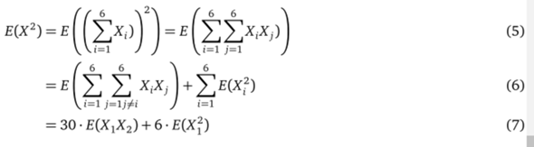
Verwunderlich Doppelsumme Berechnen Bilder

Verwunderlich Doppelsumme Berechnen Bilder. Nun schauen wir uns doppelsummen an: Wie berechne ich den lösungsweg?
Doppelte Integrale from mathe-online.fernuni-hagen.de Hier lernen wir anhand von aufgaben, wie der umfang von verschiedenen geometrischen formen berechnet werden kann. Wie berechne ich den lösungsweg? Die doppelsumme | die doppelsummen. Tabelle hat 2 zeilen und 3 spalten Ich möchte folgende summe lösen Berechnet wird die zykluslänge vom ersten tag der periode bis zum letzten tag vor beginn der.
Verwunderlich Einkommensteuersatz Berechnen Fotos

Verwunderlich Einkommensteuersatz Berechnen Fotos. Der lohnsteuer und in einer mischform auch bei der erbschaftsteuer. Bevor die einkommensteuer berechnet werden kann, muss das zu versteuernde einkommen (zve) bestimmt werden.
Steuererklärung beim Hausverkauf: Holen Sie sich den ... from www.vermietet.de Das ergebnis ist die sogenannte „bemessungsgrundlage. Der lohnsteuer und in einer mischform auch bei der erbschaftsteuer. Wenn sie die einkommensteuer für ihre steuererklärung berechnen möchten, dann finden sie hier eine checkliste für ihre einkommensteuererklärung.